六合彩库

六合彩库-香港六合彩图库资料 2024年全日制硕士研究生招生复试通知

2024-03-19 74353

一、本次专业学位硕士招生计划

六合彩库

说明:联培基地学生的培养过程以及取得的学历学位与校本部同学完全一致。第一学年在上海交通大学校内课程学习,其余时间在联合培养基地,校内不再提供宿舍。


二、复试分数线

我院采取同一专业统一划线,录取时按第一志愿优先的原则开展招生录取工作。凡第一志愿报考我院,初试成绩满足六合彩库 分数线的考生请按时参加招生复试。

六合彩库

说明:强军计划、少民骨干计划、退役大学生士兵计划的分数线参照学校研究生院政策,达线考生全部参加复试,择优录取。招生名额单列,不占第一条“招生计划”表中的拟招录人数。


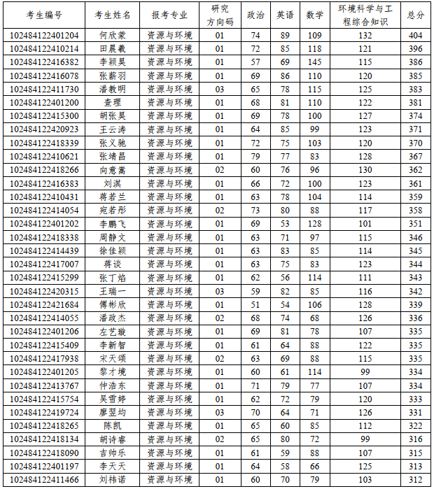
三、复试考生名单

六合彩库


四、复试材料提交

六合彩库


五、复试内容和方式

复试时间:2024年3月22日(周五),现场复试。

(一)资格审查+研究兴趣爱好综合素质调查

1.时间:2024年3月22日(周五)上午8:00-9:00

2.地点:上海交通大学闵行校区绿色环境楼231会议室

3. 提交材料:

应届生:身份证+学生证+学籍认证报告

往届生:身份证+学历/学位证+学历/学位认证报告

成绩大表、英语证书、获奖证书、学术成果证明等证书或材料的原件或复印件。

报考“退役大学生士兵专项硕士研究生招生计划”的考生还应提供本人《入伍批准书》和《退出现役证》原件或复印件。

对不符合报考条件或提供虚假信息的考生一律不予录取。

(二)专业知识笔试,满分100分,2小时

1.时间:2024年3月22日(周五)9:00-11:00

2.地点:上海交通大学闵行校区绿色环境楼231会议室

3.考核内容:专业素质与基础,包括对专业理论知识和应用技能知识的掌握程度、在本专业领域从事科学研究的能力和潜力等。

(三)综合面试,满分100分,约20分钟

1.时间:2024年3月22日(周五)13:00-17:30

2.地点:上海交通大学闵行校区中院201、202、203教室(以具体分组为准)

3. 考核内容:

(1)英语口语、听力与综合运用能力;(2)专业素质与基础:包括对专业理论知识和应用技能知识的掌握程度、在本专业领域从事科学研究的能力和潜力;(3)综合素质与能力:包括分析和解决问题的能力、逻辑思维与创造力、事业心与责任感、社会实践、人文素养等。


六、 拟录取规则

1. 复试成绩=专业知识笔试成绩+综合面试成绩。复试成绩120分以下(不包含120分)不予录取。

考生总成绩=初试成绩+复试成绩。

2. 以第一志愿优先原则,按照考生总成绩排序,并依据各方向核定名额由高到低择优录取,额满为止。如第一志愿相同且考生总成绩相同,优先录取初试成绩较高的考生;如志愿,总成绩和初试成绩均相同,优先录取环境科学与工程综合知识成绩较高的考生。

3. 资源与环境专业的01方向录满后,未录取者(需复试成绩高于120分)可在同一专业内调剂。根据调剂意愿,按照考生总成绩从高到低择优录取到同一专业的其他研究方向,额满为止。


七、其他要求和说明

1. 未能进入我院复试名单,以及进入复试名单但最终未能被我院录取的所有考生,我院均同意调出至其他单位录取,请考生自行联系接收单位。

2. 录取考生均需缴纳学费,具体收费标准可查询我校财务计划处网站上《上海交通大学2023年行政事业性收费公示》。

3. 请考生近期注意查看邮箱和手机短信,及时查看学校研究生院和六合彩库 网页的相关信息。

4. 其他未尽事宜以学校相关政策为准。

5. 咨询联系方式:021-54743292-8002,李老师, [email protected]


香港六合彩图库资料

2024年3月18日